• 核武器防护技术

  • 次生核化危害

    核化设施遭常规武器袭击所造成的放射性物质或有毒化学品污染的危害。分为次生核危害和次生化学危害。相对于核武器、化学武器袭击直接产生的核辐射伤害或毒剂伤害而言,是常规武器袭击所间接产生的核化危害。核电厂、核燃料制造厂、核反应堆、核动力厂、乏燃料储存设施、核燃料浓缩厂或后处理厂等核设施,遭严重破坏后产...

    核武器 化学武器 核反应堆

  • 电离辐射剂量

    物质受电离辐射的作用程度。从物质吸收辐射能量角度描述电离辐射对物质作用程度的物理学上的量度。电离辐射是能够在物质中引起激发和电离作用的辐射。电离辐射与物质作用的实质是能量的授受过程。受照射物质吸收电离辐射能量后会发生物理、化学变化,生物体受照射会产生生物效应。物质吸收辐射能量越多,引起的效应越明...

  • 电离辐射衰减系数

    电离辐射通过介质时强度相对变化的表征量。物质防护能力的度量,一般用μ表示。μ值越大,电离辐射衰减越大,表明物质的防护性能越好。  电离辐射衰减系数的大小取决于电离辐射的种类、能量,防护层物质的特性(组成、含量、密度)等。窄束β粒子、γ光子通过屏蔽物质时,其强度近似按指数规律衰减:  I=I0e-...

  • 放射性沉降

    沾有放射性物质的粒子从放射性烟云中落于地面的过程和现象。核爆炸形成的放射性烟云,基本构成是直径不一的气溶胶粒子,在大气中随风扩散,其中直径较大的粒子在短时间内沉降于近距离局部地区内,直径较小的粒子则在长时间内逐渐向地球表面沉降。放射性烟云形成过程中的环式运动示意图  核爆炸产生的放射性物质有核裂...

    放射性衰变规律 地面核爆炸 空中核爆炸 核反应堆

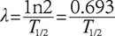
  • 放射性衰变规律

    放射性核素自发地放出射线,转变为另一种核素而呈指数衰减的规律。放射性核素不同,其衰变的快慢也不相同,均按指数规律衰变,不随外界条件的变化和所处状态的不同而改变。这一规律可用下式表示:  N=N0e–λt  式中,N0为该核素的原始核数目,N为该核素经过时间t尚未衰变的核数目,λ为衰变常数,t为经...

    核估算 核辐射效应评估

  • 放射性烟云

  • 辐射照射

    电离辐射对各种对象的作用。对人员的辐射照射可分为外照射、内照射和皮肤接触照射:①外照射。体外辐射源对人体的照射。人员所受伤害可分为急性辐射损伤和远期效应两类。急性辐射损伤程度通常用吸收剂量来衡量。人员的吸收剂量达1~2戈[瑞](Gy)时会出现轻度症状,吸收剂量越高症状越重,甚至致人死亡。②内照射...

  • 国际核核查

    利用国际监测手段,为监督各缔(签)约国履行有关核军备控制条约或协定情况而进行的核查。常用核查手段主要有:地震监测核查,水声、次声监测核查,大气放射性监测核查和现场视察核查等。  发展简史 20世纪50年代末期,随着国际间禁止核试验问题的讨论,核核查被提上议事日程,也把各国科技界的注意力吸引到与核...

    地下核爆炸 国家技术手段

  • 国际监测系统

    专门用于核查《全面禁止核试验条约》执行情况的监测系统。由该条约技术秘书处的国际数据中心(IDC)提供支助,用于常年不间断地监测全球可能发生的违约事件。包括国际地震监测系统、国际放射性核素监测系统(其中含经核证的放射性核素实验室)、国际次声监测系统、国际水声监测系统及相应的通信手段。  国际地震监...

    地下核试验 大气层核试验 水下核爆炸

1/3页
跳转到: GO 每页